9月26日上午10时,何瀚书画展在西庐寺开幕,省政协原副主席赵培根、省佛教协会执行会长慧开大和尚、省政府参事室党组成员副主任王兰等200多人出席开幕式。


萧龙士艺术研究会顾问萧承霭、荣誉会长萧承震、执行会长黄小舟、副会长王文秀、刘燕凌 、书记朱沈阳、副秘书长张虎、丁利东参加开幕式。
开幕式由刘燕凌主持、 西庐寺方丈界心、安徽省书法家协会主席吴雪、安徽省政府咨询机构对外交流协会会长邾根斌、安徽省硬笔书协主席张全民、何瀚先生先后致辞。
著名书画家陈廷友、潘家忠、解思胜、李鲁生、江沛鸿、杨玉能、姚德虎、岳学忠、张民、章志平、徐东云、汪江涛、曹翼龙、张梅、王夕沅等参加开幕式活动。


著名美学家郭因老为何瀚书画展题词






何瀚先生现系中华诗词学会、中国楹联学会名誉理事,安徽省文史研究馆研究员,中国国画院创作委员会副主席,中国民族书画研究院研究员等。

何瀚先生是当代少有的在文学上诗词楹联方面均有造诣、在书法上真草隶篆皆能驾驭的杰出的诗人、书法家。闲暇时,潜心涂抹山水,调整情趣。他的书法刊登20几种大型辞典和书画专辑中。他的书法尤其是大篆及甲骨文颇有影响。先生为人谦逊、从不张扬,待人和蔼,对前来请教者倾囊传授,桃李满天下,其人品和艺品赢得广泛推崇和赞誉。
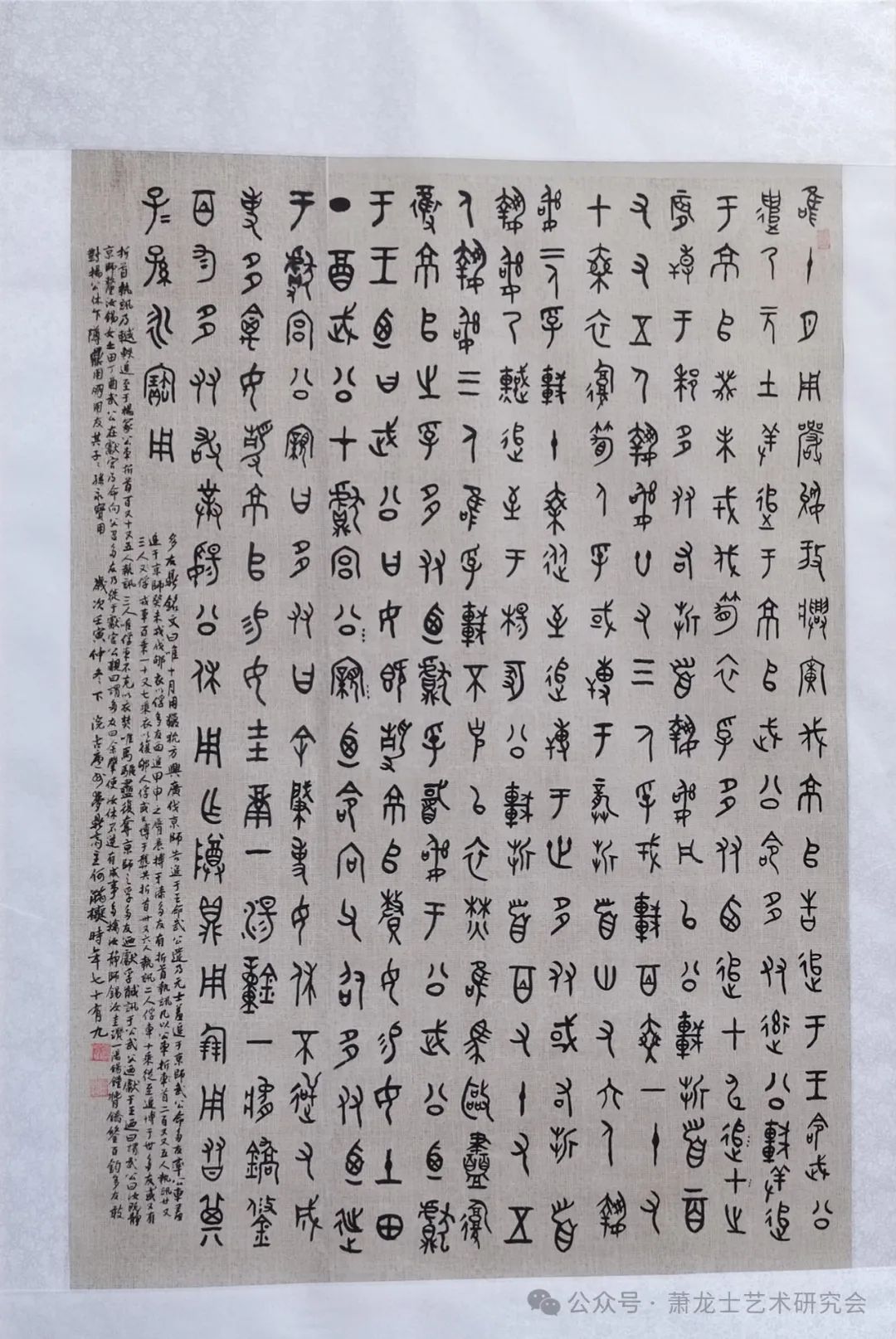
何瀚书画展作品(选登)











附 何瀚先生回忆1987年萧龙士百岁寿宴的筹备情况。
声名动天阙 眉寿齐霍衡
----著名书画大师萧龙上先生百岁寿宴追忆
何 瀚
人生几十年,总有许多难以忘怀的往事。而最使我终身不忘、至今激动不已的事,莫过于我和我的好友、著名烹饪师(现为国家一级烹饪评委、省徽菜研究所所长)兼国画家王振声共同为我省著名书画大师萧龙士先生操办的百岁盛宴。往事历历在目,记忆犹新。
早在二十二年前,即上世纪1987年5月14日(农历4月10日),时值春夏之交,日丽风和。我清早就从住处东七里站赶往位于淮河路229号(今步行街李府对面)名闻遐尔的庐州饭店(今已不存),为著名书画大师萧龙士先生百岁寿宴而奔忙。
庐州饭店门面高处由著名书画家张建中题写的店名匾额被制成铜字,在阳光的照耀下熠熠生辉。门楣悬挂的红底金字横幅“祝贺著名国画家萧龙士先生百岁寿辰”赫然醒目,百步之外也清晰可见。楼上楼下挂满古色古香的宫灯,每盏宫灯都嵌有“寿”字,连玻璃窗也不例外。寿宴设在宽敞明亮的二楼之上。主席台中央的墙壁上挂有著名书画家张建中的擘窠巨书“寿”字,足有六尺见方,红底金字,光芒四射。两侧嵌字联“龙兴墨雨泽书画;士俱丹心报国家”乃著名书法家刘子善先生所撰,我以隶书写成。
整个大厅,华灯齐放,24张餐桌错落有致,桌面铺就崭新的台布和全新餐具。喜庆气氛之浓,深受客人们夸赞。
中午11时,前来贺寿的省、市领导、省内外众多书画家、社会名流及其亲属陆续步人大厅,依序就座。来宾主要有(排名不分前后):张恺帆、史钧杰、郑锐、侯永、郑家琪、王厚宏、冯其庸、魏心一、孟亦奇、杜方平、潘锷鏱、马乐庭、刘夜烽、陈登科、亚明、黎光祖、鲁彦周、刘子善、张建中、鲍加、张秉伦、张祚荫、董正平、马文翠、郭公达等。
中午12时许,画坛寿星萧老在其女儿、孙辈的搀扶下,缓步进入大厅。此时,近三百人见到身材魁伟、精神矍铄的萧老,顿时掌声雷动,经久不息。当宴会的各项工作就绪,宴会主持人、著名书画家、萧老入室弟子周彬先生宣布宴会开始,并宣读宴会程序。这时日楼下响起了长时间的炮竹声。接着,宴会者按照第一程序,将酒杯斟满,全场起身,把酒杯高举过头,共同祝愿萧老寿比南山、甲子重逢。萧老随即离座躬身,举杯深饮回敬。场内掌声、欢笑声连成一片。紧接着,省市领导、书画家和社会各界朋友纷纷走到萧老桌前敬酒致贺。在这敬酒的人群中,年龄最长者乃民国宿老、88岁的著名书法家、诗人、省文史馆馆员石克士先生;最年轻的便是24岁的画家陈廷友了。这时,服务员将玉馔佳肴,依次上席。寿宴之珍,皆由烹饪师王振声精心设计。不仅寓意吉祥,而且用料考究,烹制精良,色香味形俱佳,受到客人们的齐声赞扬。其菜谱依次为:1大件:干烧对虾,双烩蹄筋,沙地驼龙,乌龙戏珠,葱扒鹌鹑,鸡油翠带;2.汤件:雏鸡团鱼,东海龙须(福寿面);3.主盘:特制大寿蛋糕,特制24只寿桃(每桌);4.十四围盘:清水油凤,如意笋,云头卷蹄,麻辣苔丝,瑶池红莲,南山金针,包公鱼,青龙卧沙滩,佛手酸苣,翡翠金钩,松鼠鱿鱼,青椒蝴蝶片,红莺里脊,芙蓉冬菇夹。这时的大厅内互相碰杯声、谈笑声交织在一起。酒至半酣,有几位服务员捧上由肥市第一饮服公司订做的(上海老大昌食品厂特级布点大师谢德焕精心制作)直径60公分、三层塔式雕花蛋糕。蛋糕造型以龙卧祥云为主体雕,顶端饰有松鹤,栩栩如生,如金雕玉琢,美不胜收。随之,形态逼真的寿桃面点也分送每席中央,赞誉之声不绝于耳。只见萧老子女将百支五彩之烛点燃,未待蜡炬燃尽,服务员又将蛋糕捧到每桌客人面前,供大家分享其乐。
在宴席上,许多人将寿桃面点、寿面留下一些,打包带回,更有甚者,寿桃、寿面纹丝不动打包带回,与家人分享。大家都非常珍惜这一难得的机会,不仅一睹一代书画大师的风采,而且敬赠每人玲珑寿盏一只、寿筷一双,以为纪念。寿盏标有黑色环形隶书“著名国画家萧龙土先生百寿纪念”字样,正中有朱砂隶书“寿”字。每双寿筷以朱砂色印有类似文字。虽然所赠寿盏在今人看起来不够精致,但是在当时资源十分匮乏的情况下,就成了罕有之物了。当时我为买寿盏,几乎跑遍全城大街小巷也难觅其踪,又因数量偏大(600余只),困难就不言而喻了。最后通过位于大东门桥畔一家全市最大的土产门市部的领导,请他们设法备齐了,可寿盏、寿筷上的文字又成了问题。为此,我费尽了周折,最后在省博物馆大院里,在江西景德镇瓷厂临时搭盖的简易棚里完成了烧制任务。
在宴席将结束的时候,我发现有许多感人的事情。有一位不知姓名的客人将收下的寿盏、寿筷打包带回,边说了一句很有趣的话:“我宁可摔坏了身子,也绝不能让寿盏有一点损伤。”还有的客人竟将寿宴中的其它餐具,如瓷勺、瓷盘、碟、碗也乘人不备“顺手牵羊”,以图吉利。
(节选自纪念萧龙士诞辰120周年文集)